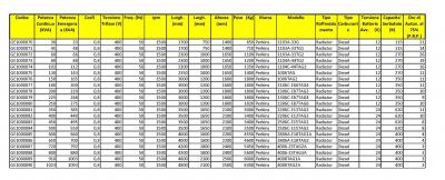
GRUPPI ELETTROGENI SERIE OPEN SKID - MOTORIZZATI PERKINS

I gruppi elettrogeni sono sempre equipaggiati di serie con:

- Alternatore brushless con AVR di Primaria marca,
- Serbatoio integrato di varie misure completo di accessori,
- Protezione magnetotermica dimensionata sulla base della potenza del gruppo,
- Tutti gli strumenti di monitoraggio gruppo come contaore, voltmetro, amperometro etc..
- Batteria di avviamento,
- Pulsante di stop di emergenza,
- Base con rialzi per il sollevamento con le forche,

-Il quadro elettrico di controllo è automatico di serie a partire dalla potenza di 60 KVA compresa, per le taglie minori è fornito manuale ma predisposto per l'eventuale optional automatico.

I gruppi sono inoltre predisposti per l'aggiunta di numerosi optional come il kit per il caricamento automatico del carburante, il collegamento del quadro di commutazione ATS e tanto altro ancora riportato nella sezione del sito dedicata a tutti gli accessori.


 

Immagini